Microstrip waveguide - vary width#
In this example we calculate effective epsilon of the microstrip waveguides from [1]
def mesh_waveguide(filename, wsim, hclad, hsi, wcore, hcore):
core = box(-wcore / 2, -hcore / 2, wcore / 2, hcore / 2)
clad = box(-wsim / 2, -hcore / 2, wsim / 2, -hcore / 2 + hclad)
silicon = box(-wsim / 2, -hcore / 2, wsim / 2, -hcore / 2 - hsi)
combined = shapely.ops.unary_union([clad, silicon])
polygons = OrderedDict(
surface=LineString(combined.exterior),
core_interface=core.buffer(hcore / 10).exterior,
core=core,
clad=clad,
silicon=silicon,
)
resolutions = dict(
core={"resolution": min(wcore / 20, hcore / 4), "distance": 1, "SizeMax": 0.5},
core_interface={
"resolution": min(wcore / 20, hcore / 4),
"distance": 1,
"SizeMax": 0.5,
},
# silicon={"resolution": 0.2, "distance": 5},
)
return mesh_from_OrderedDict(polygons, resolutions, filename=filename, default_resolution_max=5)
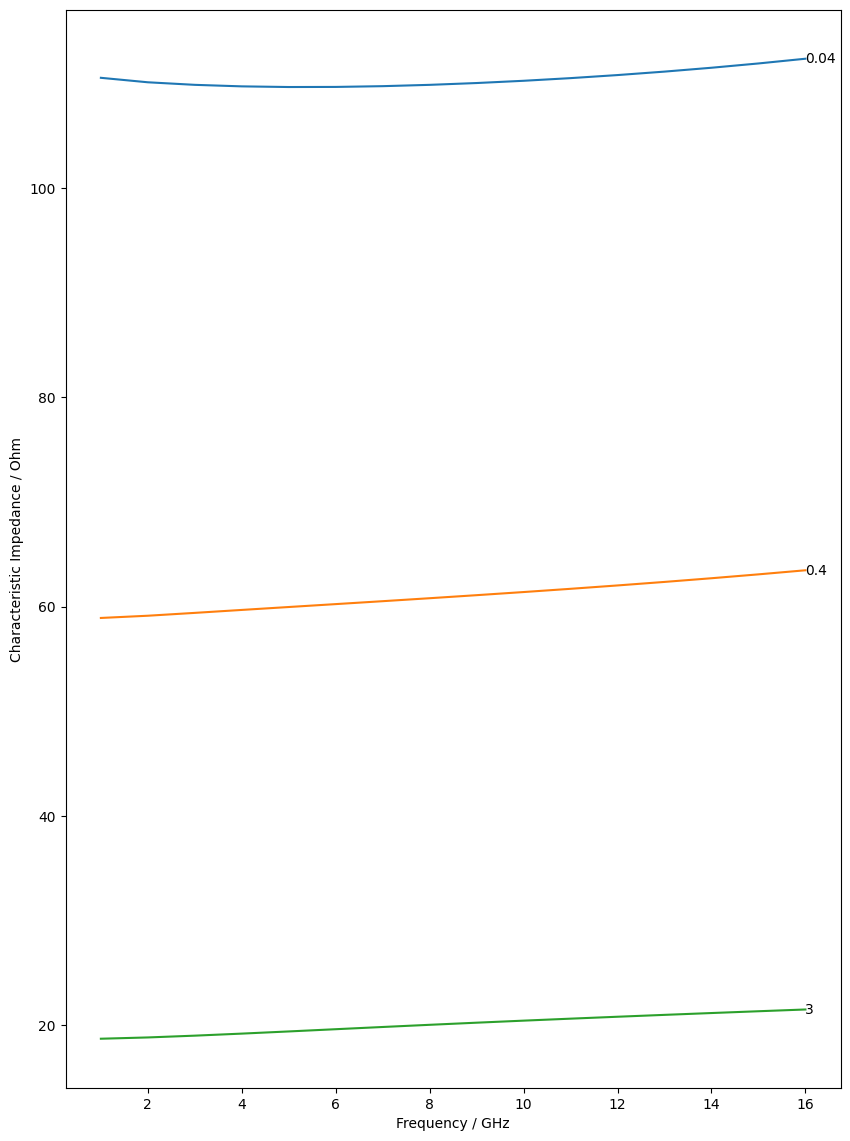
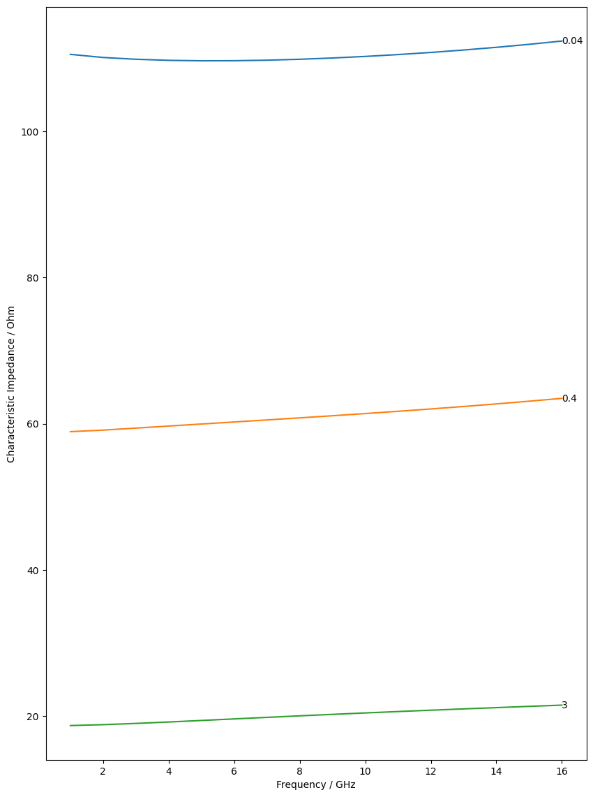
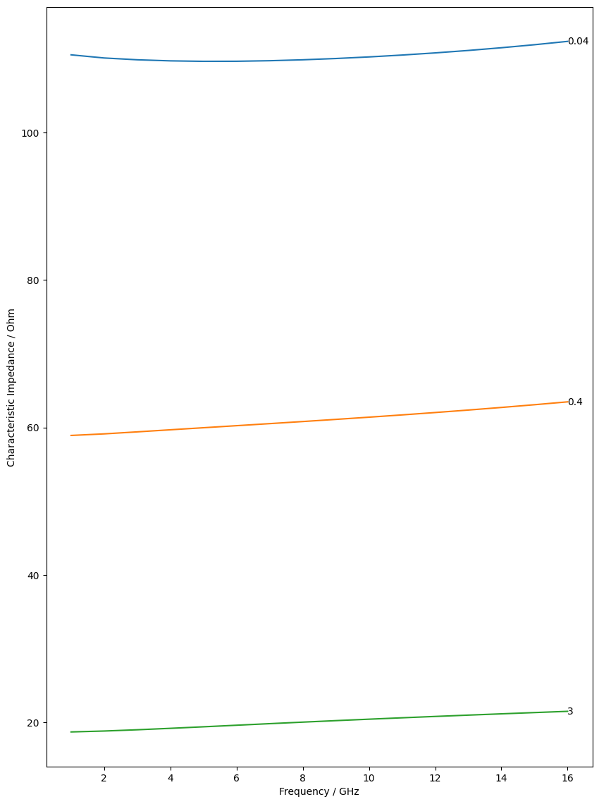
frequencies = np.linspace(1e9, 16e9, 16)
# widths = (0.04, 0.6, 0.8, 0.1, 0.14, 0.18, 0.25, 0.3, 0.4, 0.5, 0.6, 0.8, 1, 1.2, 1.4, 1.6, 1.8, 2, 2.2, 2.6, 3,)
widths = (
0.04,
0.4,
3,
)
epsilon_effs = np.zeros((len(widths), len(frequencies), 1), dtype=complex)
characteristic_impedances = np.zeros((len(widths), len(frequencies), 1), dtype=complex)
for i, width in enumerate(tqdm(widths)):
mesh = from_meshio(
mesh_waveguide(
filename="mesh.msh",
wsim=10,
hclad=10,
hsi=0.64,
wcore=width,
hcore=0.005,
)
)
mesh = mesh.scaled((1e-3,) * 2)
for j, frequency in enumerate(tqdm(frequencies, leave=False)):
basis0 = Basis(mesh, ElementTriP0(), intorder=4)
epsilon = basis0.zeros().astype(complex)
epsilon[basis0.get_dofs(elements="silicon")] = 9.9 + 0.0005
epsilon[basis0.get_dofs(elements="clad")] = 1.0
epsilon[basis0.get_dofs(elements="core")] = 1 - 1j * 1 / (
18e-6 * 1e-3
) / scipy.constants.epsilon_0 / (2 * np.pi * frequency)
# basis0.plot(np.real(epsilon), colorbar=True).show()
modes = compute_modes(
basis0,
epsilon,
wavelength=scipy.constants.speed_of_light / frequency,
num_modes=1,
metallic_boundaries=True,
)
print(f"Width: {width}, Frequency: {frequency/1e9} GHz")
print(f"Effective epsilons {modes.n_effs**2}")
# modes[0].show("E", part="real", plot_vectors=True, colorbar=True)
epsilon_effs[i, j] = modes.n_effs**2
# In work
conductors = ("core_interface",)
from skfem import Functional
from skfem.helpers import inner
@Functional(dtype=np.complex64)
def current_form(w):
return inner(np.array([w.n[1], -w.n[0]]), w.H)
currents = np.zeros((len(conductors), len(modes)))
for mode_i, mode in enumerate(modes):
# modes[0].show("H", part="real", plot_vectors=True, colorbar=True)
(ht, ht_basis), (hz, hz_basis) = mode.basis.split(mode.H)
for conductors_i, conductor in enumerate(conductors):
facet_basis = ht_basis.boundary(facets=mesh.boundaries[conductor])
current = abs(current_form.assemble(facet_basis, H=facet_basis.interpolate(ht)))
currents[conductors_i, mode_i] = current
characteristic_impedances[i, j] = np.linalg.inv(currents).T @ np.linalg.inv(currents)
print("characteristic impedances", characteristic_impedances[i, j])


Bibliography#
[1]
R.H. Jansen. High-speed computation of single and coupled microstrip parameters including dispersion, high-order modes, loss and finite strip thickness. IEEE Transactions on Microwave Theory and Techniques, 26(2):75–82, February 1978. URL: http://dx.doi.org/10.1109/TMTT.1978.1129316, doi:10.1109/tmtt.1978.1129316.