Dispersion#
First we define the dispersion relations of the used materials. Both, the dispersion of silicon nitride and of silicon dioxide are taken from refractiveindex.info
def n_silicon_nitride(wavelength):
x = wavelength
return (1 + 3.0249 / (1 - (0.1353406 / x) ** 2) + 40314 / (1 - (1239.842 / x) ** 2)) ** 0.5
def n_silicon_dioxide(wavelength):
x = wavelength
return (
1
+ 0.6961663 / (1 - (0.0684043 / x) ** 2)
+ 0.4079426 / (1 - (0.1162414 / x) ** 2)
+ 0.8974794 / (1 - (9.896161 / x) ** 2)
) ** 0.5
Now we define the geometry, we use a box for the core with a height of 500nm and a width of 1000nm. Everything below the waveguide is defined as the box and the waveguide is surrounded by the clad.
core = box(0, 0, 1, 0.5)
polygons = OrderedDict(
core=core,
box=clip_by_rect(core.buffer(1.0, resolution=4), -np.inf, -np.inf, np.inf, 0),
clad=clip_by_rect(core.buffer(1.0, resolution=4), -np.inf, 0, np.inf, np.inf),
)
resolutions = {"core": {"resolution": 0.1, "distance": 1}}
mesh = from_meshio(mesh_from_OrderedDict(polygons, resolutions, default_resolution_max=0.6))
mesh.draw().show()

Now we sweep the wavelengths: We do a loop where whe set the epsilon values according to the wavelength and as we don’t change the geometry, we can reuse the mesh, yay!
wavelengths = np.linspace(1.2, 1.9, 20)
num_modes = 2
all_neffs = np.zeros((wavelengths.shape[0], num_modes))
all_te_fracs = np.zeros((wavelengths.shape[0], num_modes))
for i, wavelength in enumerate(tqdm(wavelengths)):
basis0 = Basis(mesh, ElementTriP0())
epsilon = basis0.zeros(dtype=complex)
for subdomain, n in {
"core": n_silicon_nitride(wavelength),
"box": n_silicon_dioxide(wavelength),
"clad": 1,
}.items():
epsilon[basis0.get_dofs(elements=subdomain)] = n**2
modes = compute_modes(basis0, epsilon, wavelength=wavelength, num_modes=num_modes)
all_neffs[i] = np.real([mode.n_eff for mode in modes])
all_te_fracs[i, :] = [mode.te_fraction for mode in modes]
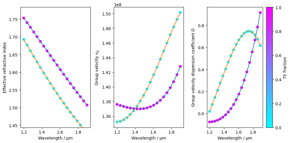
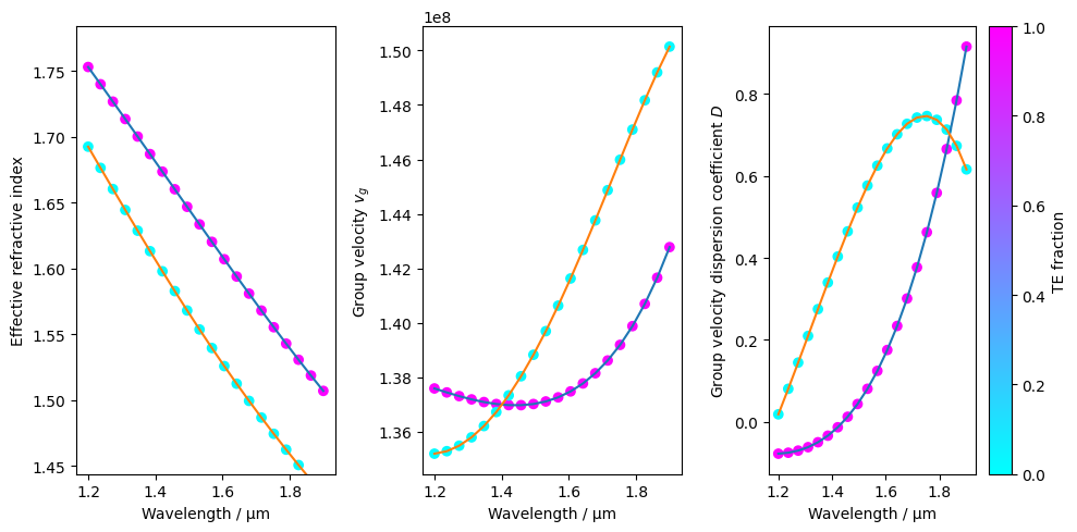
Now we only look at the real part of the effective refractive indices and plot all the dispersion relation, the group velocity and the dispersion parameter over the wavelength. So convenient!
