Calculate GVD of waveguide#
Reproduce figure 2e from [1]
First, construct the geometry of waveguide according to figure 2d of the paper.
width = 0.88 # um
height = 0.69 # um
wavelength_range = [500, 2500]
wavelegnth_step = 50
# Construct waveguide geometry
core = shapely.geometry.box(-width / 2, 0, +width / 2, height)
cladding = shapely.geometry.box(-width * 2, 0, width * 2, height * 3)
buried_oxide = shapely.geometry.box(-width * 2, -height * 2, width * 2, 0)
polygon = OrderedDict(
core=core,
cladding=cladding,
buried_oxide=buried_oxide,
)
# Define material property and resolution of waveguide
resolutions = dict(
core={"resolution": 0.02, "distance": 0.3},
cladding={"resolution": 0.05, "distance": 0.3},
buried_oxide={"resolution": 0.05, "distance": 0.3},
)
mesh = from_meshio(mesh_from_OrderedDict(polygon, resolutions, default_resolution_max=2))
mesh.draw().show()
plot_domains(mesh)
plt.show()


Use sellmeier equation to determine the refractive index of material.
def n_Si3N4(wavelength, fit=False):
if wavelength >= 0.31 and wavelength <= 5.507:
return math.sqrt(
(3.0249 * wavelength**2) / (wavelength**2 - 0.1353406**2)
+ (40314 * wavelength**2) / (wavelength**2 - 1239.842**2)
+ 1
)
else:
raise ValueError(f"wavelength provided is {wavelength}um, is out of the range for Si3N4")
def n_SiO2(wavelength):
if wavelength < 0.21 or wavelength > 6.7:
raise ValueError(f"wavelength provided is {wavelength}um, is out of the range for {type}")
return np.sqrt(
0.6961663 * wavelength**2 / (wavelength**2 - 0.0684043**2)
+ (0.4079426 * wavelength**2 / (wavelength**2 - 0.1162414**2))
+ (0.8974794 * wavelength**2 / (wavelength**2 - 9.896161**2))
+ 1
)
n_dict = {"core": n_Si3N4, "cladding": n_SiO2, "buried_oxide": n_SiO2}
Create the mesh, and sweep wavelength using the same mesh. The target mode is te mode, so the mode is selected by highest te fraction
neff_list = []
aeff_list = []
basis0 = Basis(mesh, ElementTriP0())
epsilon = basis0.zeros()
wavelength_list = np.linspace(wavelength_range[0], wavelength_range[1], wavelegnth_step)
for wavelength in tqdm(wavelength_list):
wavelength = wavelength * 1e-3
for subdomain, n in n_dict.items():
epsilon[basis0.get_dofs(elements=subdomain)] = n(wavelength) ** 2
modes = compute_modes(basis0, epsilon, wavelength=wavelength, num_modes=3, order=1)
modes_sorted = modes.sorted(key=lambda mode: -np.real(mode.te_fraction))
mode = modes_sorted[0]
neff_list.append(np.real(mode.n_eff))
aeff_list.append(np.real(mode.calculate_effective_area()))
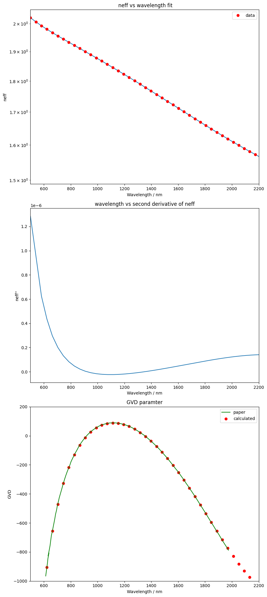
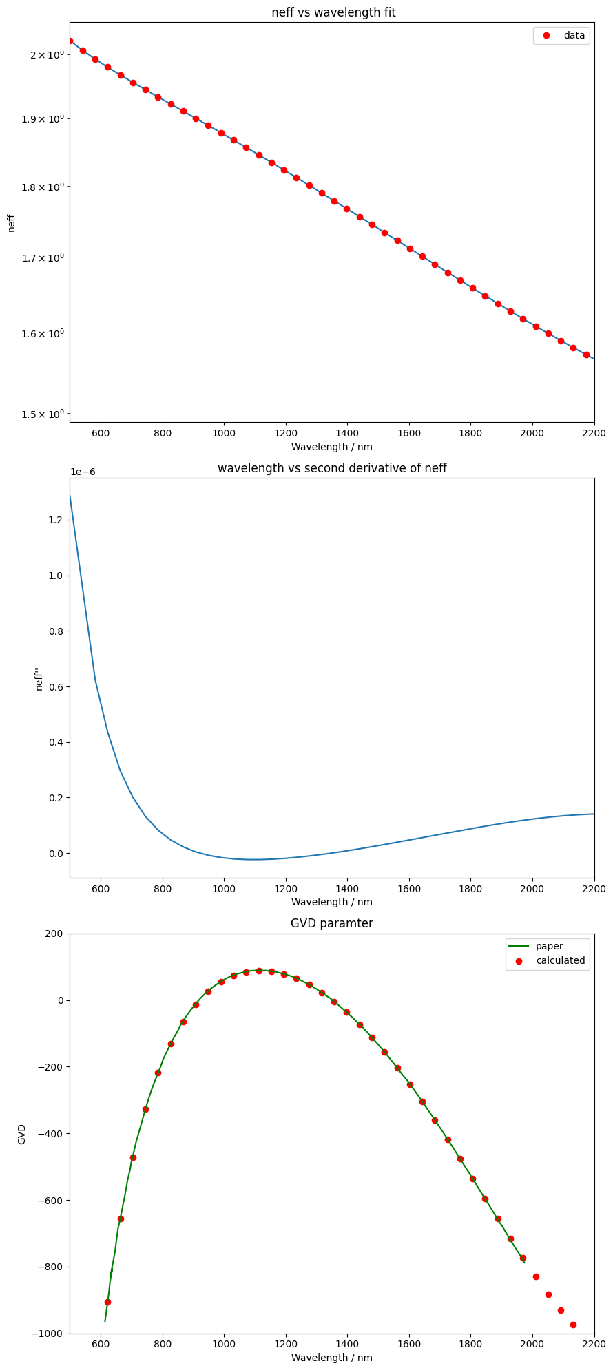
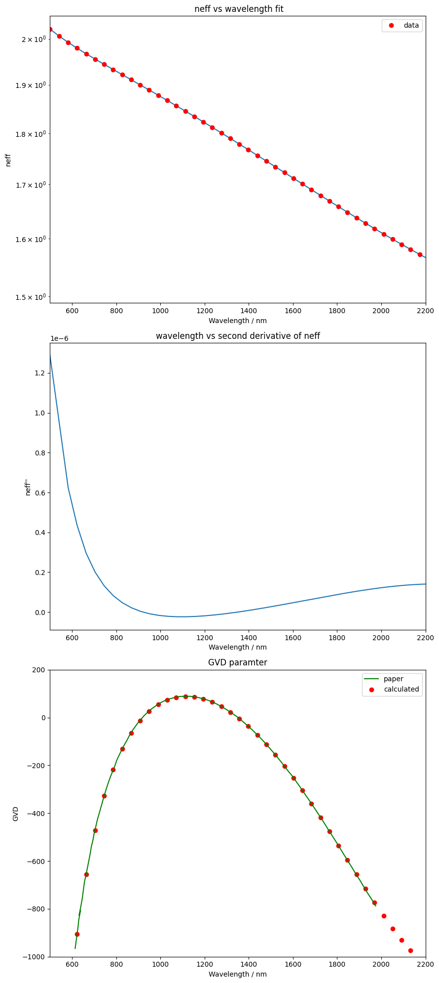
Calculate the GVD by fitting a curve for wavelength vs neff. Then take second derivative of the curve
y_spl = UnivariateSpline(wavelength_list, neff_list, s=0, k=3)
x_range = np.linspace(wavelength_list[0], wavelength_list[-1], 1000)
y_spl_2d = y_spl.derivative(n=2)
# Plot the result
fig, axs = plt.subplots(3, 1, figsize=(9, 20))
axs[0].set_xlabel("Wavelength / nm")
axs[0].set_ylabel("neff")
axs[0].set_title(" neff vs wavelength fit")
axs[0].semilogy(x_range, y_spl(x_range))
axs[0].semilogy(wavelength_list, neff_list, "ro", label="data")
axs[0].legend()
axs[0].set_xlim(500, 2200)
axs[1].set_xlabel("Wavelength / nm")
axs[1].set_ylabel("neff''")
axs[1].set_title("wavelength vs second derivative of neff")
axs[1].plot(x_range, y_spl_2d(x_range))
axs[1].set_xlim(500, 2200)
# ----plot reference data-------
ref_gvd = pd.read_csv("../reference_data/Klenner/GVD.csv", dtype=np.float64)
ref_gvd_x, ref_gvd_y = np.split(ref_gvd.values, 2, axis=1)
axs[2].plot(ref_gvd_x, ref_gvd_y, c="green", label="paper")
# ----Calculate and plot GVD
GVD = -wavelength_list / (2.99792e-7) * y_spl_2d(wavelength_list)
axs[2].scatter(wavelength_list, GVD, label="calculated", c="red")
axs[2].set_ylabel("GVD")
axs[2].set_xlabel("Wavelength / nm")
axs[2].set_ylim(-1000, 200)
axs[2].set_xlim(500, 2200)
axs[2].set_title("GVD paramter")
axs[2].legend()
plt.tight_layout()
plt.show()

Bibliography#
Alexander Klenner, Aline S. Mayer, Adrea R. Johnson, Kevin Luke, Michael R. E. Lamont, Yoshitomo Okawachi, Michal Lipson, Alexander L. Gaeta, and Ursula Keller. Gigahertz frequency comb offset stabilization based on supercontinuum generation in silicon nitride waveguides. Optics Express, 24(10):11043, May 2016. URL: https://doi.org/10.1364/OE.24.011043, doi:10.1364/OE.24.011043.