Physics-informed propagation loss model#
The ability to locally refine the mesh makes FEM well-suited to problems with very different lengthscales.
One such problem is empirically modeling the propagation loss due to sidewall roughness, for instance as performed in [1].
from collections import OrderedDict
import numpy as np
import shapely
from scipy.optimize import curve_fit
from shapely.affinity import scale
from shapely.ops import clip_by_rect
from skfem import Basis, ElementTriP0
from skfem.io.meshio import from_meshio
from femwell.maxwell.waveguide import compute_modes
from femwell.mesh import mesh_from_OrderedDict
from femwell.visualization import plot_domains
Assume there is some information available about TE waveguide loss as a function of wavelength and width:
# Foundry-reported information
wavelengths = (1.55, 1.55)
widths = (0.5, 1)
slab_heights = (0.0, 0.0)
losses = ydata = np.array([2, 1])
core_thickness = 0.22
n_si = 3.45
n_sio2 = 1.44
# Model hyperparameters
sidewall_extent = 0.01
# Format training data
xdata = []
for wavelength, width, slab_height in zip(wavelengths, widths, slab_heights):
xdata.append((wavelength, width, slab_height))
xdata = np.array(xdata)
Assuming sidewall roughness dominates the loss, we prepare the following mesh:
def waveguide(
core_width,
slab_thickness,
core_thickness=core_thickness,
slab_width=4,
sidewall_extent=0.02,
sidewall_k=1e-4,
material_k=1e-5,
):
core = shapely.geometry.box(-core_width / 2, 0, +core_width / 2, core_thickness)
# Core sidewalls (only keep side extensions)
core_sidewalls = core.buffer(sidewall_extent, resolution=8)
core_sidewalls = clip_by_rect(core_sidewalls, -np.inf, 0, np.inf, core_thickness)
if slab_thickness:
slab = shapely.geometry.box(-slab_width / 2, 0, +slab_width / 2, slab_thickness)
waveguide = shapely.union(core, slab)
clad = scale(waveguide.buffer(5, resolution=8), xfact=0.5)
polygons = OrderedDict(
slab=slab,
core=core,
core_sidewalls=core_sidewalls,
clad=clad,
)
else:
clad = scale(core.buffer(5, resolution=8), xfact=0.5)
polygons = OrderedDict(
core=core,
core_sidewalls=core_sidewalls,
clad=clad,
)
resolutions = dict(
core={"resolution": 0.03, "distance": 0.5},
core_sidewalls={"resolution": 0.005, "distance": 0.5},
slab={"resolution": 0.06, "distance": 0.5},
)
mesh = from_meshio(mesh_from_OrderedDict(polygons, resolutions, default_resolution_max=10))
basis0 = Basis(mesh, ElementTriP0())
epsilon = basis0.zeros(dtype=complex)
materials = {
"core": n_si - 1j * material_k,
"core_sidewalls": n_sio2 - 1j * sidewall_k,
"clad": n_sio2,
}
if slab_thickness:
materials["slab"] = n_si - 1j * material_k
for subdomain, n in materials.items():
epsilon[basis0.get_dofs(elements=subdomain)] = n**2
return mesh, basis0, epsilon
mesh, basis0, epsilon = waveguide(
core_width=0.5,
slab_thickness=0.0,
core_thickness=0.22,
)
plot_domains(mesh)
basis0.plot(epsilon.real, colorbar=True).show()
basis0.plot(epsilon.imag, colorbar=True).show()



Now that we have a simulation, we can compute TE0 modes, and fit the hyperparameters sidewall_extent
and sidewall_index
to get a better model for loss as a function of waveguide geometry:
def compute_propagation_loss(
wavelength,
core_width,
slab_thickness,
core_thickness=core_thickness,
slab_width=4,
sidewall_extent=sidewall_extent,
sidewall_k=1e-4,
material_k=1e-5,
):
mesh, basis0, epsilon = waveguide(
core_width=core_width,
slab_thickness=slab_thickness,
core_thickness=core_thickness,
slab_width=slab_width,
sidewall_extent=sidewall_extent,
sidewall_k=sidewall_k,
material_k=material_k,
)
modes = compute_modes(basis0, epsilon, wavelength=wavelength, num_modes=1, order=2)
keff = modes[0].n_eff.imag
wavelength_m = wavelength * 1e-6 # convert to m
alpha = -4 * np.pi * keff / wavelength_m
return 10 * np.log10(np.exp(1)) * alpha * 1e-2 # convert to cm
for wavelength, core_width, slab_thickness, loss in zip(wavelengths, widths, slab_heights, losses):
predicted_loss = compute_propagation_loss(
wavelength=wavelength,
core_width=core_width,
slab_thickness=slab_thickness,
core_thickness=core_thickness,
slab_width=4,
sidewall_extent=sidewall_extent,
sidewall_k=3e-4,
material_k=2.5e-6,
)
print(wavelength, core_width, slab_thickness, predicted_loss, loss)
1.55 0.5 0.0 2.6911328341456575 2
1.55 1 0.0 1.1092153672388871 1
Pretty close, refine through optimization:
def objective_vector(xdata, sidewall_k, material_k):
losses_obj = []
for wavelength, width, slab_height in xdata:
losses_obj.append(
compute_propagation_loss(
wavelength=wavelength,
core_width=width,
slab_thickness=slab_height,
core_thickness=core_thickness,
slab_width=4,
sidewall_extent=sidewall_extent,
sidewall_k=sidewall_k,
material_k=material_k,
)
)
return losses_obj
popt, pcov = curve_fit(objective_vector, xdata, ydata, bounds=(0, [1e-2, 1e-2]), p0=(3e-4, 1e-6))
/tmp/ipykernel_9842/51164132.py:1: OptimizeWarning: Covariance of the parameters could not be estimated
popt, pcov = curve_fit(objective_vector, xdata, ydata, bounds=(0, [1e-2, 1e-2]), p0=(3e-4, 1e-6))
popt, pcov
(array([1.86930725e-04, 2.42089660e-06]),
array([[inf, inf],
[inf, inf]]))
for wavelength, core_width, slab_thickness, loss in zip(wavelengths, widths, slab_heights, losses):
predicted_loss = compute_propagation_loss(
wavelength=wavelength,
core_width=core_width,
slab_thickness=slab_thickness,
core_thickness=core_thickness,
slab_width=4,
sidewall_extent=sidewall_extent,
sidewall_k=popt[0],
material_k=popt[1],
)
print(wavelength, core_width, slab_thickness, predicted_loss, loss)
1.55 0.5 0.0 1.9999999999594094 2
1.55 1 0.0 0.9999999998713528 1
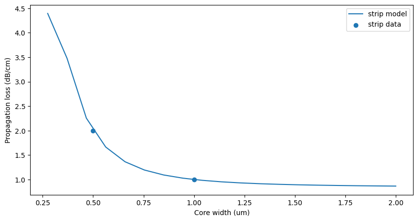
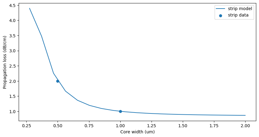
widths_plot = np.linspace(0.275, 2.0, 19)
losses_plot_strip = []
for width in widths_plot:
losses_plot_strip.append(
compute_propagation_loss(
wavelength=1.55,
core_width=width,
slab_thickness=0.0,
core_thickness=core_thickness,
slab_width=4,
sidewall_extent=sidewall_extent,
sidewall_k=popt[0],
material_k=popt[1],
)
)
import matplotlib.pyplot as plt
plt.plot(widths_plot, losses_plot_strip, label="strip model")
plt.scatter(widths, losses, label="strip data")
plt.legend()
plt.xlabel("Core width (um)")
plt.ylabel("Propagation loss (dB/cm)")
Text(0, 0.5, 'Propagation loss (dB/cm)')

Bibliography#
Susan M. Lindecrantz and Olav Gaute Hellesø. Estimation of propagation losses for narrow strip and rib waveguides. IEEE Photonics Technology Letters, 26(18):1836–1839, 2014. doi:10.1109/LPT.2014.2337055.